找回密码
 立即注册
查看: 172|回复: 0

Gromacs如何交联模拟(含视频)

[复制链接]

4

主题

13

回帖

95

积分

管理员

积分
95
发表于 2026-3-19 18:08:35 | 显示全部楼层 |阅读模式
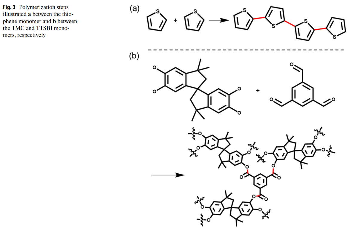
    GMXPolymer 是一款基于 GROMACS 的模拟聚合算法工具,主要用于生成非晶态聚合物的交联结构。它通过模拟聚合反应和分子动力学平衡,能高效构建出与实验数据高度一致的聚合物模型。它的核心工作方式是由代码控制一个主聚合循环,在这个循环中反复调用 GROMACS 程序进行能量最小化和分子动力学模拟。每当一个新的化学键形成,它就会自动更新单体的ITP文件,添加新的键、角度和二面角信息,从而动态地构建出聚合物的交联网络。
    研究团队已经用不同功能、极性和刚性的玻璃态聚合物验证了该工具的可靠性,模拟得到的结构和热性能与实验数据高度一致。该研究论文数据如下:
下载 (4).png 下载 (1).png
下载 (3).png 下载 (2).png

   B站直播回放:
    https://www.bilibili.com/video/BV1aJwyzNEC6/

   GMXPolymer软件已经添加附件,欢迎感兴趣的研究者使用和提出宝贵的建议。






GMXPolymer.zip

11.37 MB, 阅读权限: 2, 下载次数: 28

GMXPolymer.zip

您需要登录后才可以回帖 登录 | 立即注册

本版积分规则

QQ|模拟之家-SimuHome ( 蜀ICP备2023003244号-3 )

GMT+8, 2026-5-21 06:07 , Processed in 0.029349 second(s), 24 queries .

快速回复 返回顶部 返回列表